図1に示すように,初期長さL,初期直径dの丸棒が荷重Pで引張られていて,長さがΔLだけ伸びて直径がΔdだけ縮んだとします。

縦ひずみε(longitudinal strain)と横ひずみεL(lateral strain)は次式で定義されています。

縦ひずみのことを垂直ひずみ(normal strain)とか,単にひずみ(strain)と呼びます。
ひずみの符号は,物体が伸びたときをプラス,縮んだときをマイナスとします。(2)式では直径が縮んでいるのでマイナスの符号をつけました。
図2に示すように,直方体にせん断荷重Pが作用し,四角形ABCDが平行四辺形ABC’D’に変形したとします。ここで点Bと点Cの距離Lは極めて小さいとします。

せん断ひずみγ(shearing strain)は次式で定義されています。

φの単位はラジアンです。弾性変形域でのγは0.001[-]と微小なので,tanφ=φとしました。
(1),(2),(3)式では長さを長さで割っていますので,ひずみの単位は無次元量となります。[-]と表記します。パーセント[%]で表記されることもあります。[με]という単位が使われることがありますが,1[με]は1×10-6[-]です。
(3)式においてラジアン[rad]が登場しますが,ラジアンの定義は 円弧の長さ÷半径 なので無次元量[-]です。
図1の状態で,横ひずみεLを縦ひずみで割った値の絶対値をポアソン比ν(Poisson's ratio)と言います。式で表すと以下のようになります。

体積変化がないときのポアソン比νを計算してみましょう。
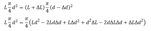
変形前後の体積が等しいとして,次式が成立します。

ΔLとΔdは微小であるため,2次以上の微小項をゼロとして

(1)式と(2)式を代入して

(4)式から

体積変化がないときのポアソン比νは0.5[-]となります。しかし,有限要素法ソフトにν=0.5[-]を入力すると,体積弾性率が無限大となってエラーとなってしまいますので注意が必要です。金属材料のポアソン比は0.3[-]程度の値です。弾性変形の場合,図1のように引張ったときは体積が増加し,圧縮したときは体積は減少します。ポアソン比が0.5[-]より小さいの値をとることは,引張ったり圧縮したりしたときに体積変化があることを意味します。
主な金属のポアソン比をE,G,ν,Kの関係のページに記します。
仮想仕事の原理 を追加しました。